Reporting
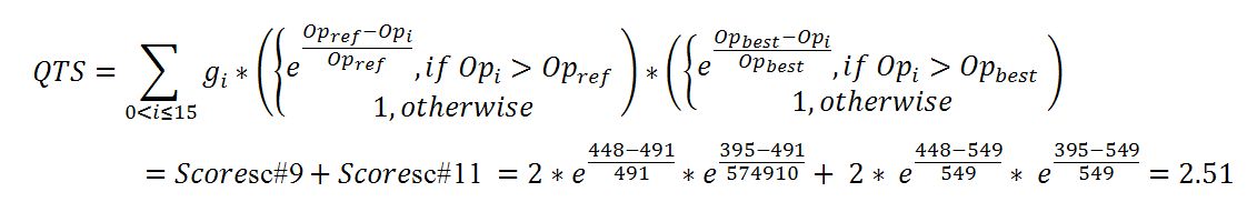
In this paper, two dynamic scenarios (#PS9 and #PS11) are studied with the NetLogo simulator. Perturbations are taken into account in both cases, and the system reorganizes itself to optimize the global performance. Thus two stars are given to each scenario.

In the light of this result, the corresponding qualitative classification is B- (see figure in Qualitative scoring of robustness).
The final rating is calculated with the following formula, with the objective being the minimization of Cmax:

The global QTS is 2.51/30 for this approach. This rating is poor because only two scenarios are tested in this example.
Table 10 presents the reporting sheet that summarizes all these experiments.

The difference between the makespan obtained in this experiment and the optimal one obtained using the MILP is only 13 % (448 vs. 395). In addition, the ability to react to perturbations allows the potential fieldapproach to manage both scenarios PS9 and PS11, which are some of the most complicated scenarios. Thus, a preliminary conclusion of this benchmark is that potential fields seem to be a very promising approach. Of course, this study must be pursued with theoretical studies for eliciting the properties and testing this benchmark more profoundly, with other scenarios than C0 and other dynamic scenarios to improve QLS and QTS values.
Using approaches such as MILP can lead to data model lock-in and may introduce severe limitations, forbidding its adaptation to other type of controlled production systems and rendering the developments highly dependent of the target systems. In approaches such as potential fields, only data models for the elementary exchanges are fixed; the interactions are completed at a lowlevel in a highly dynamic way. Thus, the data model lock-in is limited. A high level of reactivity and adaptability to other controlled system is possible since the assumptions simplifying the behavioral model of this system are limited.
